Introducción
La patología de los tendones del denominado manguito rotador del hombro conlleva un gran número de visitas al especialista y elevado coste sanitario anual. A pesar de realizar una técnica exquisita de sutura de desgarros del manguito, según las series existen entre un 20 y un 70% de fracasos, mayormente debidos a cambios irreversibles tanto en el propio tendón como en el músculo: infiltrado graso, atrofia y baja celularidad, que alteran sus propiedades biomecánicas. Las opciones terapéuticas con las que contamos actualmente para mejorar la calidad de la reparación quirúrgica se hallan aún en fase de desarrollo. Por ello, planteamos como hipótesis de nuestro trabajo mejorar la curación empleando como tratamiento coadyuvante a la cirugía la inoculación directa de células mesenquimales pluripotenciales (MSC), con gran capacidad de diferenciación a diferentes estirpes celulares, tanto en músculo como en entesis (unión tendón-hueso). Para ello, era necesario diseñar en una primera fase un modelo experimental animal que nos permitiera recrear las condiciones patológicas degenerativas del tendón, describiendo la naturaleza de los procesos atróficos y cicatriciales crónicos inducidos mediante tenotomía.
El objetivo del presente trabajo se centra en desarrollar un modelo animal de desgarro crónico del manguito de los rotadores reproducible, lo más similar al encontrado en humanos, que pueda servirnos para investigar, en sucesivas fases, nuevas terapias celulares con expectativas de mejorar el éxito quirúrgico de la reparación.
No existe un modelo ideal único que responda a todas las cuestiones planteadas y se halle exento de limitaciones(1). De entre todas las opciones disponibles para el establecimiento de un modelo animal, seleccionamos el de rata por poseer un arco cerrado, constituido por acromion, coracoides y clavícula, por el cual el tendón del supraespinoso (SE) se desliza a lo largo de todo el movimiento del hombro, similar al humano(2)(3)(4).
Este modelo debería también disminuir las limitaciones conocidas de este tipo de modelos experimentales, como por ejemplo la reversibilidad espontánea de los cambios musculares a las 8-12 semanas, la imposibilidad para reproducir el característico infiltrado graso muscular o la aparición de abundante fibrosis en el espacio creado por la tenotomía(3)(4)(5)(6).
Por ello, deberíamos lograr una mayor degeneración y atrofia tanto tendinosa como muscular que los modelos conocidos. Para evitar adherencias y reversibilidad en el tiempo, asociamos a la tenotomía del SE un desgarro del tendón del músculo infraespinoso (IE) adyacente. Persiguiendo obtener una atrofia muscular e infiltrado graso mantenidos, añadimos también una sección del nervio supraescapular(7).
Material y métodos
Para desarrollar un modelo preclínico murino de desgarro crónico del manguito de los rotadores, diseñamos un ensayo aleatorizado con 40 ratas Wistar-Ham hembras, adultas y sanas, de entre 200 y 300 gramos de peso. Se intervinieron ambos hombros de las extremidades anteriores distribuidos en 2 grupos a los que se realizó una técnica simple (TS) de desinserción o una técnica en la que se añadió la denervación (TD) del nervio supraescapular. En el primer grupo de TS se procedió a la desinserción quirúrgica de los tendones de los músculos SE e IE en uno de ambos hombros indistintamente (20 izquierdos, 20 derechos). En el segundo grupo (TD), tras la desinserción de SE e IE, se realizó una denervación añadida del nervio supraescapular (20 y 20). En ambos grupos, se utilizó el lado contralateral como control, realizando solamente incisión cutánea y disección hasta visualizar el manguito, evitando así sesgos y aumentando la potencia estadística con el emparejado.
Criterios de inclusión en el ensayo
Ratas hembras adultas Wistar-Ham de entre 200 y 300 gramos de peso, con fuerza de agarre de extremidades anteriores normalizada (medida mediante aparato Grip Strength Meter®, Bioseb). Los criterios de exclusión fueron la muerte de la rata desde que se produce el desgarro crónico hasta el momento del sacrificio y obtención de las piezas, la desnutrición de la rata con curva negativa de peso en dichas 12 semanas o cualquier complicación ocurrida en la rata durante dicho periodo.
Técnica quirúrgica y anestesia
El trabajo experimental se desarrolló íntegramente en las instalaciones del Instituto de Investigación Sanitaria Biodonostia (IISB), que cuenta con todos los permisos e instalaciones para realizar este tipo de proyectos. Los ensayos realizados fueron previamente aprobados por el Comité Ético de Investigación Clínica del Área Sanitaria de Guipúzcoa; acta n.º 11/12 (23/11/2011).
Los animales ingresaron al estabulario una semana antes de la intervención quirúrgica, periodo en que permanecieron en cuarentena, debiendo estar aislados en jaulas de 2 ejemplares cada una según protocolos establecidos de atmósfera estéril. Se realizó la inducción anestésica general mediante una inyección subcutánea de buprenorfina a dosis 0,05 mg/kg/12 h con dilución 1:5 con suero fisiológico. La anestesia se indujo en cámara de inducción con gas anestésico isoflurano (Forane®) al 5% que se mantuvo entre el 2 y el 3% durante la intervención. Tras el rasurado y la preparación quirúrgica, se inició la intervención en decúbito lateral y con ayuda de microscopía óptica. Se realizó una incisión longitudinal de 2 a 3 cm sobre la articulación escapulohumeral de la extremidad delantera (Figura 1), disección roma de la musculatura deltoidea hasta visualizar el manguito de los rotadores (Figura 2). El tendón SE es rápidamente localizado por debajo del arco óseo similar al humano y formado igualmente por acromion, clavícula y coracoides. Se localizó su inserción en el troquiter humeral. Adyacente y posterior se encuentra el tendón del músculo IE (Figura 3). Se realizó la desinserción completa de ambos tendones comprobando que se creaba al menos una retracción de 5 mm del muñón tendinoso (Figura 4). Con ello se pretendía evitar la aparición de cicatrizaciones espontáneas. Los extremos tendinosos se dejaban marcados con una sutura de monofilamento 9/0. Se asoció la denervación del nervio supraescapular, localizándolo por debajo de la porción central muscular SE (Figura 5). Por último, se practicó reconstrucción del deltoides y cierre de la piel con suturas reabsorbibles de 5/0 y 3/0, respectivamente.
Figura 1. Posición para la intervención en decúbito lateral y ayuda de microscopía óptica; incisión longitudinal de 2 a 3 cm sobre la articulación escapulohumeral de la extremidad delantera.
Figura 1. Posición para la intervención en decúbito lateral y ayuda de microscopía óptica; incisión longitudinal de 2 a 3 cm sobre la articulación escapulohumeral de la extremidad delantera.

Figura 2. Disección roma del deltoides hasta visualizar el manguito de los rotadores. Acr: acromion.
Figura 2. Disección roma del deltoides hasta visualizar el manguito de los rotadores. Acr: acromion.

Figura 3. Visión del músculo supraespinoso (SPE) por debajo del arco óseo formado igualmente por acromion, clavícula y coracoides. Adyacente y posterior se encuentra el tendón del músculo infraespinoso (IFE). Acr: acromion.
Figura 3. Visión del músculo supraespinoso (SPE) por debajo del arco óseo formado igualmente por acromion, clavícula y coracoides. Adyacente y posterior se encuentra el tendón del músculo infraespinoso (IFE). Acr: acromion.

Figura 4. Desinserción completa de ambos tendones creando al menos una retracción tendinosa de 5 mm. SPE: nervio supraescapular.
Figura 4. Desinserción completa de ambos tendones creando al menos una retracción tendinosa de 5 mm. SPE: nervio supraescapular.

Figura 5. Extremos tendinosos marcados con una sutura monofilamento de 9/0 y denervación del nervio supraescapular.
Figura 5. Extremos tendinosos marcados con una sutura monofilamento de 9/0 y denervación del nervio supraescapular.

Curso postoperatorio
El animal se instaló en su correspondiente jaula aislada y libre de patógenos, permitiéndole libre movilidad en la misma. Diariamente, se evaluó el consumo de agua y alimentos, el estado de la herida y la movilidad espontánea. La analgesia postoperatoria se aplicó con buprenorfina (Buprex®) a demanda. Los ejemplares fueron sacrificados con administración de CO2 durante 10 minutos, según las tandas designadas a las 4, 8 y 12 semanas posteriores a la intervención para realizar la extracción y el estudio de sus respectivos juegos miotendinosos.
Análisis histológico macro- y microscópico
Las piezas musculares completas, extraídas en los diferentes puntos en el tiempo descritos, fueron pesadas y medidas volumétricamente e inmediatamente incluidas en formol. Para la evaluación histológica, las piezas se sometieron a un proceso de deshidratación con diferentes alcoholes e inclusión en parafina a 60 °C para realizar posteriores cortes longitudinales y transversales de 5 a 8 micras de grosor y permitir la aplicación de las tinciones adecuadas. Se realizó estudio y lectura de las muestras con ayuda de microscopía óptica y software Fiji-ImageJ® (análisis estereológico). Se revisaron entre 3 y 5 muestras de cada pieza.
Análisis muscular y tendinoso
Con hematoxilina-eosina (HE) se analizó la celularidad, la tipificación y la medición de la organización del colágeno. Para observar y cuantificar la grasa intramuscular se aplicó tricrómico de Masson (TM). Las áreas colectivas tisulares obtenidas fueron evaluadas según un método estereológico cuantitativo con ayuda de software Fiji-ImageJ® y escáner.
En cuanto a la evaluación de la entesis, previo procesado y decalcificado rápido de 36 horas, se analizó en un primer momento su estructura y celularidad con tinciones de HE y TM para valorar la formación de nueva estructura fibrocartilaginosa.
Análisis estadístico
Se utilizaron métodos estadísticos no paramétricos para análisis de datos, comparando los datos diferentes a la normalidad. Se utilizó el test de Kruskal-Wallis para comparar los grupos de distribución. Todos los datos se expresaron como media ± desviación estándar. Un valor de p < 0,05 indicaba una diferencia estadísticamente significativa. Para el análisis se utilizó el software GraphPad Prism® (versión 5).
Resultados
Evaluación macroscópica
Observamos que la realización de la intervención quirúrgica en ambas extremidades superiores no comprometía la vitalidad de los animales. Aunque inicialmente las ratas intervenidas presentaban una tendencia a perder peso (aproximadamente un 4% de su peso inicial), a las 2 semanas postintervención ya recuperaban los valores de su peso preoperatorio e incluso seguían ganado peso. Ciframos esta ganancia en una media del 17% sobre el peso inicial.
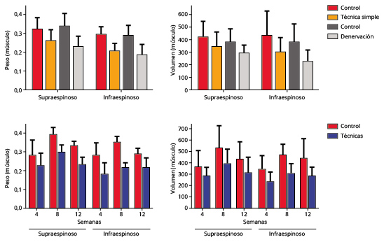
Al comparar, el peso y el volumen de los músculos SE e IE del hombro intervenido respecto al hombro control para cada técnica, TS y TD, observamos que, independientemente del músculo y la técnica utilizada, el hombro intervenido presentaba una disminución significativa (p < 0,01) de ambos parámetros; incluso, llegando a ser dicha diferencia más significativa con la TD. Al realizar el estudio de ambos parámetros en distintos momentos del seguimiento (4, 8 y 12 semanas poscirugía), el patrón observado fue muy similar. Es decir, en los hombros intervenidos, tanto con la TS como con la TD, el peso y el volumen de los músculos SE e IE son inferiores que en los hombros control, efecto que se mantiene en el tiempo. En el músculo SE sí observamos diferencias estadísticamente significativas (p < 0,03) al comparar ambas técnicas quirúrgicas durante el periodo de 8 y 12 semanas (Figura 6 y Tablas 1 y 2).
Figura 6. Resultados del examen macroscópico del músculo. Muestra los resultados de disminución de peso (A) y de volumen (B) comparando la técnica simple con su control y con la técnica de denervación y su control. Ese efecto de disminución se mantiene en el tiempo tanto en relación con el tiempo (C) como con el volumen (D).
Figura 6. Resultados del examen macroscópico del músculo. Muestra los resultados de disminución de peso (A) y de volumen (B) comparando la técnica simple con su control y con la técnica de denervación y su control. Ese efecto de disminución se mantiene en el tiempo tanto en relación con el tiempo (C) como con el volumen (D).

Tabla 1. Resultados microscópicos
Tabla 1. Resultados microscópicos

Tabla 2. Resultados microscópicos
Tabla 2. Resultados microscópicos

Análisis microscópico del músculo
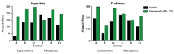
En relación con el análisis de infiltrado graso intramuscular respecto a sus controles con ambas técnicas, hallamos que los hombros intervenidos presentaban un aumento constante y progresivo del porcentaje de grasa muscular. Este porcentaje llegaba a ser significativo (p < 0,01) cuando el músculo SE es intervenido mediante la TD (Figura 7A). A su vez, al analizar el porcentaje de grasa en distintos tiempos en ambos músculos, observamos que a las 12 semanas postintervención mediante la TD el porcentaje de infiltrado es significativamente mayor en los músculos SE (p < 0,004) e IE (p < 0,02) que en sus controles (Figura 7B). Además, mediante la tinción de HE determinamos que en el músculo SE la cantidad de grasa intramuscular aumenta cuanto mayor es el tiempo transcurrido desde la cirugía hasta el sacrificio y la extracción de la pieza.
Figura 7. Resultados del análisis de infiltrado graso intramuscular. Según estos resultados, ambas técnicas producen mayor infiltrado graso que los controles y la técnica con denervación produce la diferencia más significativa (A). La mayor diferencia entre técnicas se produce a las 12 semanas (B).

En referencia al porcentaje de fibrosis muscular respecto a la superficie muscular total, observamos que en función de la técnica utilizada el porcentaje de fibrosis variaba independientemente del tiempo transcurrido. Las diferencias más significativas las detectamos en el músculo IE, concretamente a las 12 semanas poscirugía con la TD (Figura 8 A y B). No obstante, en el porcentaje de fibrosis del músculo SE no encontramos ningún cambio.
Figura 8. Resultados del porcentaje de fibrosis muscular respecto a la superficie muscular total. La fibrosis muscular aumenta en el músculo infraespinoso pero no en el supraespinoso (A). La significación estadística solo aparece con la técnica de denervación en el músculo infraespinoso a partir de las 12 semanas (A-B).

En cuanto al diámetro de las fibras, no observamos diferencias significativas independientemente del músculo y de la técnica utilizada (Figura 9). El número de fibras musculares por campo tras la intervención tampoco demuestra diferencias significativas.
Figura 9. Resultados de la evaluación microscópica de los tendones. El porcentaje de fibrosis en el tendón aumenta significativamente tras la técnica, observando la mayor significación a las 8 semanas y siendo mayor en el músculo infraespinoso que en el supraespinoso.
Figura 9. Resultados de la evaluación microscópica de los tendones. El porcentaje de fibrosis en el tendón aumenta significativamente tras la técnica, observando la mayor significación a las 8 semanas y siendo mayor en el músculo infraespinoso que en el supraespinoso.

Evaluación microscópica de los tendones
En general no encontramos diferencias significativas en los parámetros tendinosos estudiados. Es decir, no hay diferencias entre la realización de una u otra técnica.
Pudimos apreciar que en la porción tendinosa de la pieza intervenida el porcentaje de tejido fibroso es significativamente mayor que su correspondiente control, independientemente de la técnica utilizada (Figura 10 A y B).
Figura 10. Resultados de la evaluación microscópica de los tendones. A: en la porción tendinosa de la pieza intervenida (TD y TS) el porcentaje de tejido fibroso es significativamente mayor que su correspondiente control en los diferentes tiempos; B: el número de fibroblastos es mayor en tendones intervenidos (intervención) frente a controles en todos los puntos de control a lo largo del tiempo.

El ángulo de la alineación de las fibras representa la pérdida de orientación de las mismas. En cuanto a dicho parámetro, los tendones intervenidos presentan una mayor desorientación que sus respectivos controles independientemente de la técnica utilizada, pero sin llegar a la significación estadística en ningún caso (Figura 11).
Figura 11. Resultados de la evaluación microscópica de los tendones. El ángulo de alineación de las fibras representa la pérdida de orientación de las mismas. En cuanto a dicho parámetro, los tendones intervenidos presentan una mayor desorientación que sus respectivos controles.
Figura 11. Resultados de la evaluación microscópica de los tendones. El ángulo de alineación de las fibras representa la pérdida de orientación de las mismas. En cuanto a dicho parámetro, los tendones intervenidos presentan una mayor desorientación que sus respectivos controles.

Discusión
En la práctica clínica diaria encontramos una alta tasa de recidivas posquirúrgicas de lesiones crónicas y masivas del manguito rotador de hombro, persistiendo dolor e incapacidad debido a su escasa posibilidad de cicatrización a pesar de una correcta técnica quirúrgica. El propósito de este estudio era perfeccionar los modelos animales de desgarro del manguito rotador en animal pequeño existentes, insistiendo en el carácter de cronicidad y ruptura masiva. Con nuestros resultados hemos logrado acercarnos de la manera más reproducible posible a los cambios patológicos crónicos observados en humanos (sobre todo al grado de infiltrado graso y de atrofia muscular característicos de las etapas avanzadas)(2)(3). Ello nos permitirá en un futuro próximo ensayar nuevas terapias biológicas coadyuvantes a la cirugía para mejorar significativamente los resultados actuales.
En este trabajo, seleccionamos, como propuso Soslowsky et al.(4), un modelo en rata por su gran similitud anatómica ósea al humano, a pesar de sus diferentes funcionalidades de las extremidades anteriores. Este modelo es, sin embargo, mucho más parecido al humano que el de conejos, corderos, ovejas o perros. Siguiendo técnicas descritas(5)(6), realizamos desinserciones agudas abiertas de los tendones del manguito rotador para luego, a continuación, cerrar y analizar sus características a lo largo del tiempo hasta encontrar el momento en que aparecen signos significativos de cronicidad sin detectar reversibilidad de los datos encontrados. El pico máximo de atrofia muscular secundario al desgarro agudo se estableció en torno a las 4 semanas, por la alta tasa de cicatrización y la tendencia a la formación de adherencias a las 8 y 12 semanas, respectivamente, como en otros trabajos similares(5)(6). Por este motivo, se decidió realizar un seguimiento suficiente hasta la semana 12 para poder observar y cuantificar los aspectos de cronicidad y reversibilidad a más largo plazo.
Sobre los modelos conocidos, hemos realizado varias modificaciones significativas para asegurar la reproducibilidad y cronicidad de las lesiones e intentar controlar las limitaciones descritas en anteriores estudios(5)(6)(7)(8). Así, en vez de una desinserción única del tendón SE, empleamos el desgarro combinado de los tendones de los músculos SE e IE. Con ello, la lesión se asemejaba más a las lesiones complejas humanas. Se pretendía crear además un defecto crítico con retracción suficiente de al menos 5 mm y así poder evitar la formación de adherencias y reducir el índice de cicatrizaciones espontáneas(5)(8). También hemos añadido al modelo una sección del nervio supraescapular. Con ello pretendíamos aumentar y prolongar el grado de atrofia muscular y de infiltrado graso, características habituales de las roturas crónicas en humanos. También, como aportación novedosa, estudiamos los datos emparejados realizando un control negativo (sham surgery) en el lado contralateral llegando al manguito rotador a través del deltoides. Con ello, a la vez de aumentar la potencia estadística del ensayo, pudimos comprobar la viabilidad y las implicaciones de la cirugía simultánea en ambas extremidades anteriores, entre ellas, la existencia de hipertrofia contralateral por sobreuso. Y, por último, realizamos un análisis de las propiedades histológicas del tendón, entendiéndolo como una unidad junto con su músculo correspondiente.
Encontramos datos en el examen histológico que soportan el hecho de haber conseguido obtener el carácter crónico pretendido de las lesiones provocadas. Así, analizando los resultados macroscópicos del estudio podemos corroborar que la disminución de parámetros como peso y volúmenes son mantenidos y progresivos en el tiempo hasta las 12 semanas, tanto realizando la técnica TS como la TD en ambos músculos. Estos datos indican que la atrofia muscular por desuso se perpetúa crónicamente. En los casos control no se produce una apreciable hipertrofia contralateral que haga pensar en un sesgo de estos resultados. Además, la diferencia de peso es mayor a las 8 semanas tras el desgarro en ambos músculos, equivalente en las 2 técnicas, TS y TD. Estas diferencias se reducen solo mínimamente en el grupo de 12 semanas (Figura 6 y Tablas 1 y 2).
La presencia de infiltrado graso muscular inestable e irregular es uno de los mayores problemas referidos por diversos autores en los diferentes modelos animales descritos(3)(4)(5)(6)(7)(8). Esta es una diferencia importante del patrón de lesión en los humanos, en los que se produce un infiltrado graso mantenido en los desgarros crónicos irreversibles. Analizando nuestros resultados, el infiltrado graso hallado es mayor y constante en ambos músculos, SE e IE, en los casos de las series de desgarro (TS y TD) frente a las series de control. La diferencia en los músculos SE sometidos a técnica TD es muy significativa cuanto mayor es el tiempo de seguimiento (12 semanas). Esta es, por tanto, una diferencia importante en relación con otros modelos anteriores que no mantienen o no logran provocar atrofia grasa en ninguna de las piezas musculares estudiadas, incluso en todo el tiempo de seguimiento(5)(8). Nuestros datos sobre infiltrado graso muscular validan el carácter irreversible de la atrofia obtenida, añadiendo valor al modelo animal desarrollado.
En cambio, los datos encontrados en cuanto al porcentaje de fibrosis muscular provocado no son tan consistentes. Si bien en el músculo IE dicho porcentaje de fibrosis muscular aumenta tras la sección, incluso más con la técnica DT, no hemos podido valorar estos datos en el músculo SE. Quizás ello pueda ser debido a que el tamaño de la muestra sea pequeño para demostrar los verdaderos efectos de fibrosis en el SE (Figura 8).
En nuestra hipótesis postulábamos que la atrofia muscular conllevaría un descenso del diámetro de la fibra en los músculos seccionados atróficos, además de un descenso de las fibras musculares. Pero los resultados nos han demostrado que no hay diferencias en el diámetro de la fibra ni en el número de ellas, independientemente de la técnica realizada.
Otros autores invalidan la medida del diámetro de las fibras, así como de la densidad de los núcleos existentes en ellas como medida de cuantificación de la atrofia muscular, llegando a la conclusión de que no es un método adecuado(9). Ello sería debido a que la disminución del área producida por la sección (al estar sometida a menor tensión) puede hacer que el diámetro de las fibras aumente en músculos atróficos, con lo cual se invalidaría la medición.
En el presente modelo se produce, de forma no deseada (apenas existente en humanos), una proliferación de tejido cicatricial entre el extremo del tendón seccionado y las estructuras adyacentes, más en el caso del tendón SE. Esta proliferación cicatricial hallada es similar a la encontrada en los otros modelos descritos(5)(6)(7)(8)(9). Pero en todos los casos de nuestro modelo el tejido cicatricial hallado no llegó a alcanzar el punto de inserción original de los tendones y no constituyó, por ello, un impedimento para que se desarrollase el proceso de carácter crónico descrito.
Limitaciones del estudio
Es cierto que el animal seleccionado para realizar el presente trabajo no ofrece la misma cinemática articular ni habilidades con sus extremidades anteriores similares a las de los humanos(5)(9), pero sí lo hace de manera más acorde que otros modelos animales descritos(4). Quizás, otra limitación la constituye el hecho de dividir todo el tamaño de la muestra utilizada en cada etapa del análisis (4, 8 y 12 semanas) pudiendo limitar el adquirir una adecuada potencia estadística final. Por ello, para disminuir la posible variabilidad, hemos utilizado muestras emparejadas por cada grupo con su control en el mismo individuo. Partimos de un daño agudo realizado mediante una sección quirúrgica, no recreando de forma ortodoxa las condiciones habituales de rotura masiva del manguito rotador. Además, reducido por la sección de ambos tendones, SE e IE, podemos observar cicatrizaciones espontáneas que sesgarían nuestros resultados, como en otros modelos descritos(5)(6)(9). Finalmente, únicamente obtuvimos datos tras el sacrificio del animal. En futuros estudios se podrían analizar, también in vivo, las diferencias en habilidad o fuerza del modelo de desgarro crónico del manguito. A pesar de las limitaciones descritas, con este estudio se demuestra la validez del modelo desarrollado de desgarro crónico masivo del manguito rotador en animal pequeño. Así, se podrá aplicar a posteriores ensayos preclínicos de desarrollo de nuevas terapias biológicas(10)(11)(12)(13). Sería de gran utilidad completar este trabajo mediante estudios que aporten datos sobre la fuerza y la habilidad de extremidades anteriores tras sección tendinosa, complementando y permitiendo corroborar la validez del modelo murino descrito.
Conclusiones
Los cambios provocados en las propiedades histológicas musculares a lo largo del presente trabajo son los propios de un modelo crónico de desgarro del manguito rotador. Representan así un modelo fiable, reproducible y mantenido que permite el estudio de diferentes terapias biológicas coadyuvantes en animal pequeño. El efecto de la denervación añade un mayor infiltrado graso muscular, aunque únicamente en el SE. Se demuestra que, siempre y cuando se realice una sección completa de 2 o más tendones del manguito creando un espacio de al menos 5 mm entre la huella tendinosa y el extremo de la entesis, realizar una denervación asociada por sección del nervio supraescapular aporta mayores ventajas a dicho modelo animal por la atrofia del SE mayormente mantenida en el tiempo.
